
Så mange laks må telles for å oppnå stabilt gjennomsnitt
– Pragmatisk sett er 30 fisk en anbefaling, fortalte Ole Folkedal i HI under et fagseminar om lusetelling på Værnes.
Folkedal forklarte under seminaret at bakgrunnen for det FHF-finansierte AutoSOP-prosjektet er flere utfordringer knyttet til dagens praksis. Å håve ut og manuelt telle lus er både tidkrevende og lite optimalt for fiskevelferden. Metoden gir heller ikke et representativt bilde av lusestatusen for hele fiskegruppen. I tillegg medfører den stor usikkerhet, blant annet på grunn av inkonsekvente prøvetakingsmetoder og påvirkninger fra faktorer som værforhold.

Målet har derfor vært å oppnå en standard operasjonsprosedyre for validering av automatiserte lusetellesystem. Spesifikt ønsker de å lage en standardmetode for å sammenligne automatiserte lusetellere med lusenivå oppnådd ved tradisjonell manuell telling.
Les også: Slår fast - Store sprik for automatisk lusetelling
HI-standard fant flere lus
Prosjektet startet opp i august i fjor, og skal sluttrapporteres om ca. en måneds tid. Det hele startet i liten skala i småmerder hos HI i Austevoll der de talte 100 fisk per merd for hver telling.
I desember i fjor gikk de over til å telle lus, både manuelt og maskinelt, i merder av kommersiell skala. Optoscale var eneste kameraprodusent som var med på dette prosjektet, og HI-tellingen ble sammenlignet mot en oppdretter, og det automatiserte systemet.
Hos HI har lusetellingen foregått med kurset personell, med hodelykt, med fisken i vann og med pinsett til å løfte finner og fjerne lus, samt siling av vann for lus som har falt av fisken.

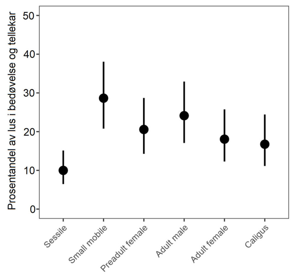
Under seminaret fortalte Folkedal at HI-standardtelling viste signifikant høyest lusetall, uavhengig av livsstadium, sammenlignet mot oppdretter sine tellinger.
Prosjektet har også vist at usikkerheten om antall lus «flater ut» etter at man har talt 30 fisk. Utvalget vil også variere med hvor i merden og hvordan en fanger fisken.
Samsvar mellom manuell og automatisk
Under AutoSOP-prosjektet har HI-tellingene også blitt sammenlignet mot automatisk lusetelling fra Optoscale sitt system. Resultatene viser at det var god sammenheng mellom de to.
– Det er en match her som er ganske så lovende. Det betyr at kamera klarer å telle antall lus som samsvarer med HI sin standardtelling.
Folkedal stiller spørsmålet om HI sin standardtelling er veien å gå for å kunne verifisere de ulike kamerasystemene i tiden fremover.
– Det er i alle fall en metode for å redusere usikkerheten i lusetall på et ganske enkelt vis. Det krever litt flere fisk, 30 stykk, noen minutter mer å telle, samt at du har dyktige og opplærte tellere, fortalte han under seminaret.
